VORTICEL MP 304 M
VORTICEL MP 304 M
Ürün hakkında daha detaylı bilgi almak için lütfen
bizimle iletişime geçiniz.
bizimle iletişime geçiniz.
Özellikleri:
- 16 model: 6 tek fazlı, 10 üç fazlı.
- Kanat profilli fan, hava türbülans gürültüsünü azaltmak için üst üste bindirilmiş, yüksek mukavemetli, yüksek stabilite, polipropilen bıçaklar ve döküm ile alüminyum göbek.
- Çelik sac, polyester toz boya korumalı çerçeve kolay hava geçişine izin vermek için doğru çapa sahip aerodinamik giriş memesi ve çıkış kanallarına kolay bağlantı sağlamak için uzatılmıştır.
- IP55 korumalı asenkron asenkron motor ve bilyaya monteli rotor ve çift gresli contalar.
- Temizleme ve bakım için kolayca çıkarılabilen siyah epoksi-polyester boya kaplamalı dairesel metal koruma ızgarası.
- Tek fazlı model için 220-240 V - 50 Hz elektrik beslemesi; Üç fazlı model için 220-380 V / 50 Hz ve 240-415 V / 50 Hz. Min. –25 ° C arasında sabit çalışma sıcaklığı. + 70 ° C maks.
- Koruma sınıfı: IP55.
- Yalıtım sınıfı: I.






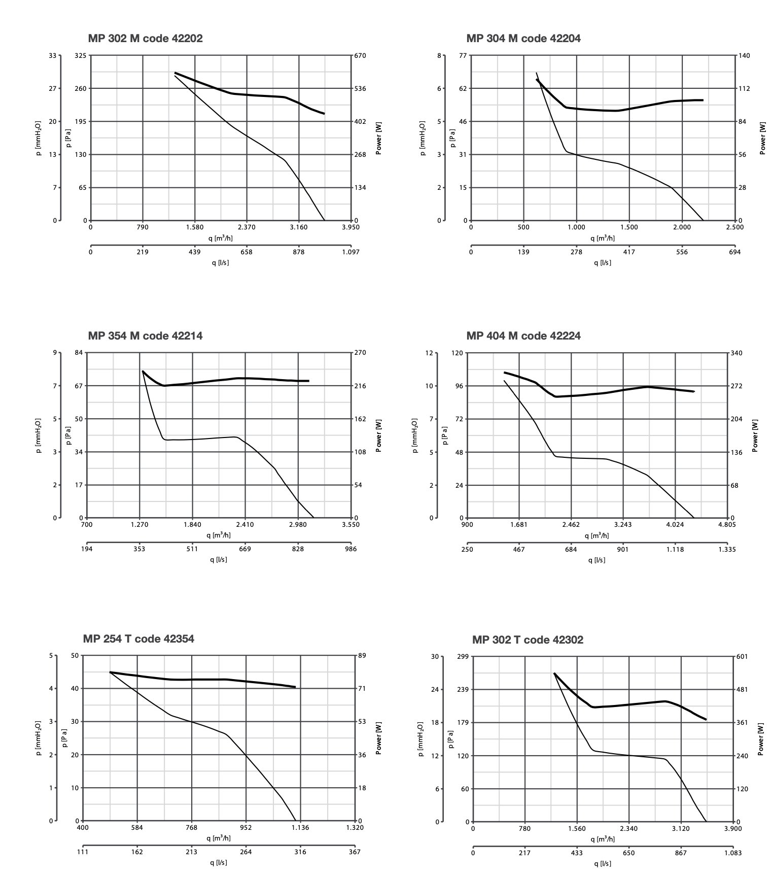
| MP 302 M |
| MP 304 M |
| MP 354 M |
| MP 404 M |
| MP 252 M |
| MP 254 M |
| MP 302 T |
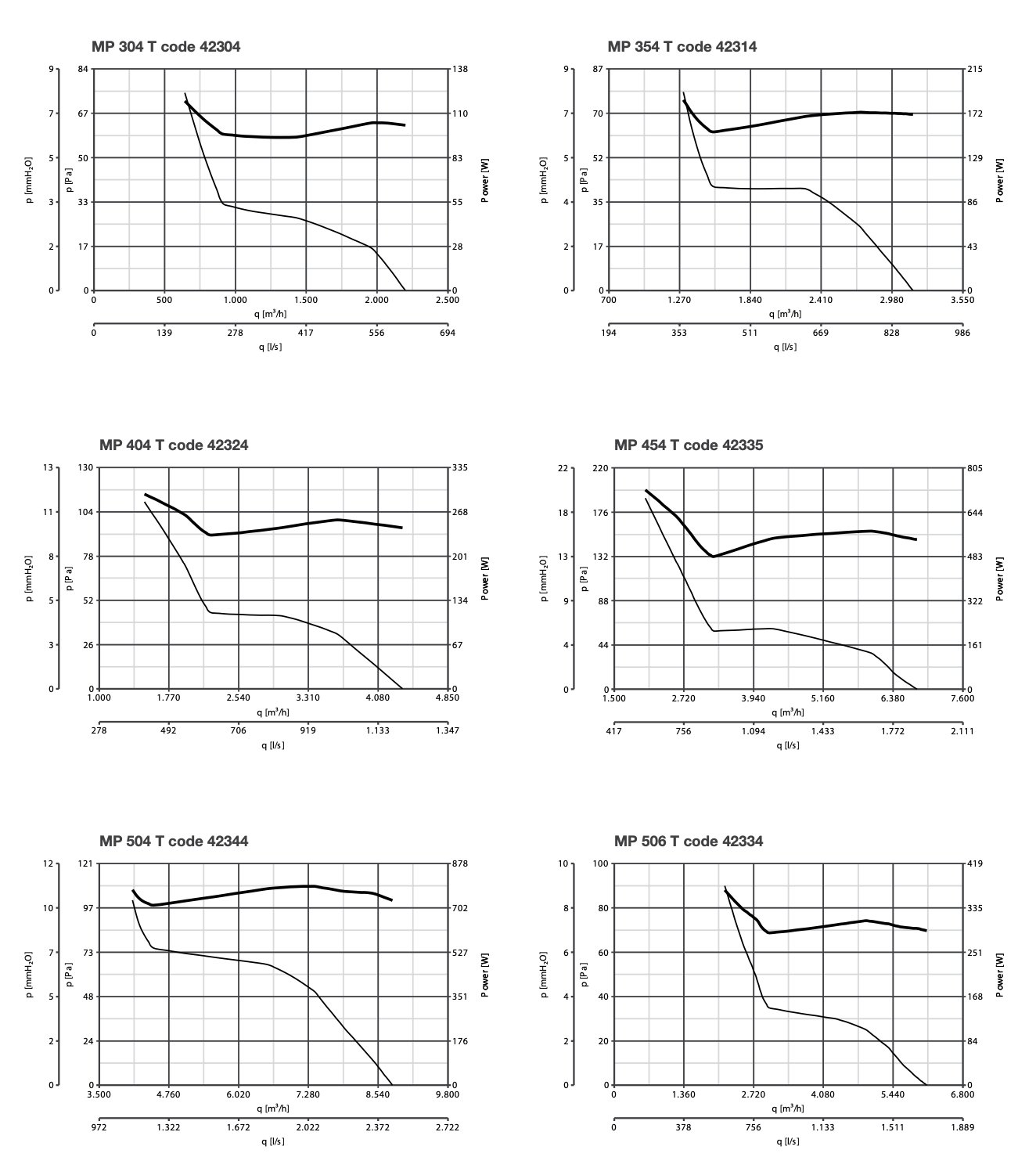
| MP 304 T |
| MP 354 T |
| MP 404 T |
| MP 506 T |
| MP 454 T |
| MP 504 T |
| MP 254 T |
| MP 606 T |
| MP 604 T |